TOP
|
特許
|
意匠
|
商標
特許ウォッチ
Twitter
他の特許を見る
10個以上の画像は省略されています。
公開番号
2025147646
公報種別
公開特許公報(A)
公開日
2025-10-07
出願番号
2024047994
出願日
2024-03-25
発明の名称
サービス提供方法、サービス提供装置、サービス提供システム及びプログラム
出願人
カシオ計算機株式会社
代理人
個人
主分類
G06Q
50/10 20120101AFI20250930BHJP(計算;計数)
要約
【課題】機器の外装に係る適切なサービスを提供することができるサービス提供方法、サービス提供装置、サービス提供システム及びプログラムを提供する。
【解決手段】サービス提供装置500は、機器に対する物理的な接触を含むコミュニケーションの態様を示すコミュニケーション情報121を取得し、コミュニケーション情報121に基づき、機器の外装の汚れ度521を推定し、汚れ度521に応じた外装に係るサービス情報324を提供する、処理部510を備える。
【選択図】図5
特許請求の範囲
【請求項1】
ユーザの機器に対する物理的な接触を含むコミュニケーションの態様を示すコミュニケーション情報を取得し、
前記コミュニケーション情報に基づき、前記機器の外装の汚れ度を推定し、
前記汚れ度に応じた前記外装に係るサービス情報を提供する、
サービス提供方法。
続きを表示(約 1,200 文字)
【請求項2】
前記汚れ度は、前記ユーザの前記機器へのコミュニケーションの態様毎に異なる値に予め設定された指標値に基づいて推定される、
請求項1に記載のサービス提供方法。
【請求項3】
前記汚れ度は、前記ユーザの性別、年齢及び居住地、並びに、季節、時間帯、室内温度及び室内湿度、の少なくともいずれか1つの属性に対応づけて設定された掛け率を、前記指標値に乗じた値に基づいて推定される、
請求項2に記載のサービス提供方法。
【請求項4】
前記汚れ度は、前記コミュニケーション情報と、前記ユーザの性別、年齢及び居住地の少なくとも1つを含むユーザ情報、又は、季節、時間帯、室内温度及び室内湿度の少なくともいずれか1つを含む環境情報と、前記外装のクリーニング又は交換の実行の間隔と、を含む学習データを用いて機械学習して生成した学習モデルを用いて推定される、
請求項1に記載のサービス提供方法。
【請求項5】
前記サービス情報は、前記汚れ度が予め定めた閾値を超えた場合に、前記外装のクリーニング又は交換を、前記ユーザに提案する情報を含む、
請求項1に記載のサービス提供方法。
【請求項6】
前記サービス情報は、前記汚れ度が予め定めた閾値を超えた場合に、前記外装のクリーニング又は交換のサービス特典を前記ユーザに供与する情報を含む、
請求項1に記載のサービス提供方法。
【請求項7】
ユーザの機器に対する物理的な接触を含むコミュニケーションの態様を示すコミュニケーション情報を取得し、
前記コミュニケーション情報に基づき、前記機器の外装の汚れ度を推定し、
前記汚れ度に対応したサービス情報を生成し、ユーザ端末に送信するプロセッサを備える、
サービス提供装置。
【請求項8】
ユーザの機器に対する物理的な接触を検出し、前記接触を含むコミュニケーションの態様を示すコミュニケーション情報を生成する前記機器と、
前記コミュニケーション情報に基づき、前記機器の外装の汚れ度を推定し、前記汚れ度に対応したサービス情報を前記ユーザに提供するサービス提供装置と、を備える、
サービス提供システム。
【請求項9】
コンピュータを、
ユーザの機器に対する物理的な接触を含むコミュニケーションの態様を示すコミュニケーション情報を取得する情報取得部、
前記コミュニケーション情報に基づき、前記機器の外装の汚れ度を推定する汚れ度推定部、
前記汚れ度に対応したサービス情報を生成するサービス情報生成部、
前記サービス情報を前記ユーザの端末に送信する通信部、
として機能させるためのプログラム。
発明の詳細な説明
【技術分野】
【0001】
本発明は、サービス提供方法、サービス提供装置、サービス提供システム及びプログラムに関する。
続きを表示(約 1,600 文字)
【背景技術】
【0002】
特許文献1には、ロボットの故障予知方法として、サーボモータの駆動トルクから算出した仕事率と、ロボットの負荷トルクから算出した仕事率と、の比に基づいてロボットの劣化の状態を判定するものが記載されている。
【先行技術文献】
【特許文献】
【0003】
特開平10-39908号公報
【発明の概要】
【発明が解決しようとする課題】
【0004】
ロボットの中には、ユーザとのコミュニケーションを目的として、ユーザに親しみやすさを抱かせられるようにロボット本体の外側に毛皮等の外装を被せたロボットがある。このような外装は、ユーザがペットロボットとふれあう際に、手、顔等で接触するため、ロボットの動作継続により汚れが蓄積する。特許文献1等の従来の方法では、このような汚れ具合を評価することは困難であるため、外装のクリーニング、交換等のサービスを適切なタイミングで提供することができないという課題がある。
【0005】
本発明は上記事情に鑑みてなされたものであり、機器の外装に係る適切なサービスを提供することができるサービス提供方法、サービス提供装置、サービス提供システム及びプログラムを提供することを目的とする。
【課題を解決するための手段】
【0006】
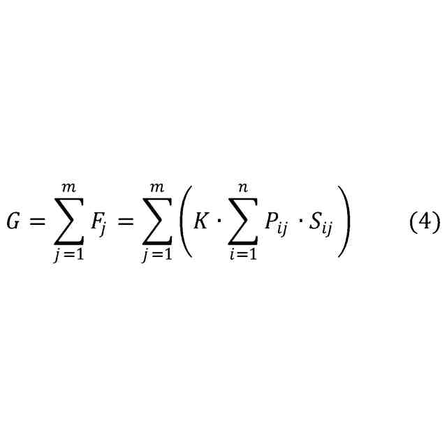
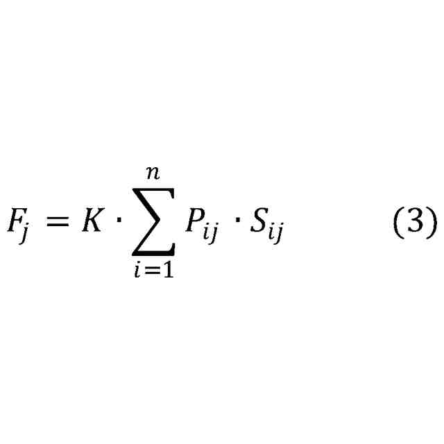
前記目的を達成するため、本発明に係るサービス提供方法の一様態は、ユーザの機器に対する物理的な接触を含むコミュニケーションの態様を示すコミュニケーション情報を取得し、前記コミュニケーション情報に基づき、前記機器の外装の汚れ度を推定し、前記汚れ度に応じた前記外装に係るサービス情報を提供する。
【発明の効果】
【0007】
本発明によれば、コミュニケーション情報に基づいて推定した外装の汚れ度に応じてサービス情報を提供するため、機器の外装に係る適切なサービスを提供することが可能となる。
【図面の簡単な説明】
【0008】
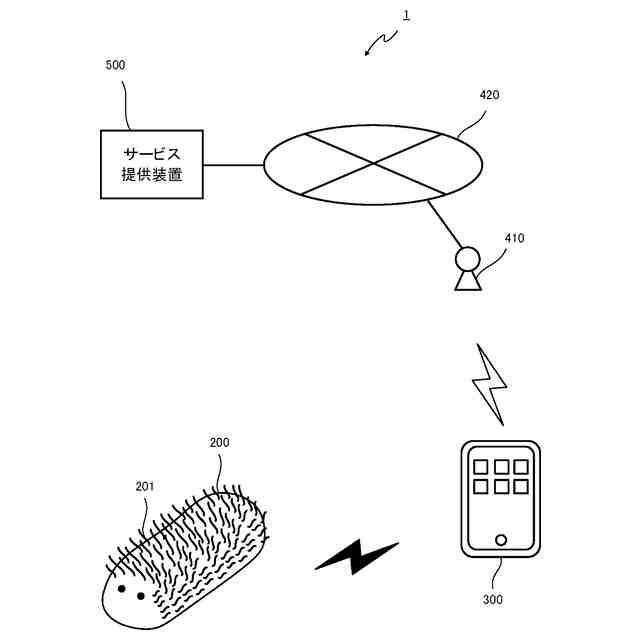
本発明の実施形態1に係るサービス提供システムの概要を示す図である。
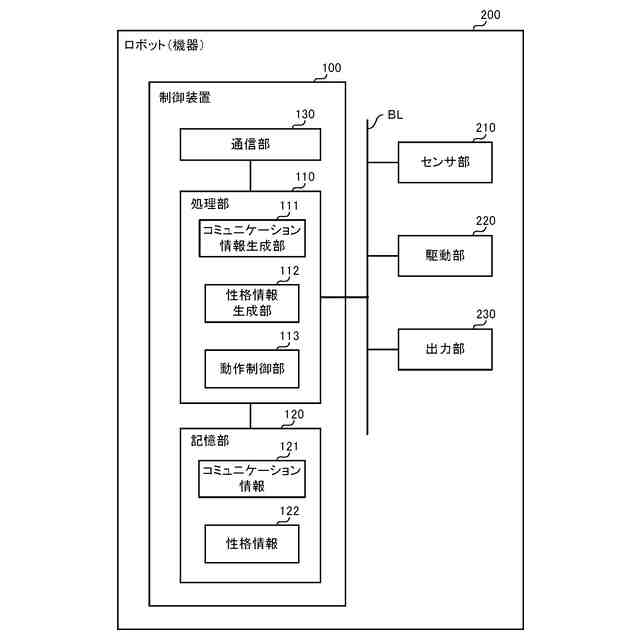
ロボットの機能構成例を示すブロック図である。
コミュニケーション情報の例を示す図である。
ユーザ端末の機能構成例を示すブロック図である。
実施形態1に係るサービス提供装置の機能構成例を示すブロック図である。
コミュニケーションの態様に対する指標値の例を示す図である。
サービス提供処理のフローチャートである。
実施形態2に係るサービス提供装置の機能構成例を示すブロック図である。
汚れ度推定で用いる掛け率の例を示す図である。
実施形態3に係るサービス提供装置の機能構成例を示すブロック図である。
【発明を実施するための形態】
【0009】
以下、本発明の実施形態について、図面を参照して説明する。なお、図中同一又は相当部分には同一符号を付す。
【0010】
本発明の実施形態1に係るサービス提供システムは、機器の外装に係るサービスを提供するものである。サービス提供システム1は、図1に示すように、ユーザが所有し又は貸与されている機器200と、無線通信により機器200と通信接続されたユーザ端末300と、無線基地局410及びネットワーク420を介してユーザ端末300と通信接続されたサービス提供装置500と、を備える。本実施形態に係る機器200は、ユーザが接触する外装201を有する任意の機器である。例えば、機器200は、充電可能なバッテリーで駆動する、小型の動物を模した、疑似的な性格を形成するロボットであり、いわゆるペットロボットである。
(【0011】以降は省略されています)
この特許をJ-PlatPat(特許庁公式サイト)で参照する
関連特許
カシオ計算機株式会社
機器、制御方法およびプログラム
2日前
カシオ計算機株式会社
情報処理方法、プログラム及び情報処理装置
2日前
カシオ計算機株式会社
活動支援方法、プログラム及び活動支援装置
2日前
個人
フラワーコートA
2か月前
個人
工程設計支援装置
1か月前
個人
地球保全システム
8日前
個人
為替ポイント伊達夢貯
1か月前
個人
冷凍食品輸出支援構造
1か月前
個人
介護情報提供システム
2か月前
個人
携帯情報端末装置
1か月前
個人
表変換編集支援システム
28日前
個人
設計支援システム
2か月前
個人
設計支援システム
2か月前
個人
残土処理システム
1日前
個人
知的財産出願支援システム
2日前
個人
結婚相手紹介支援システム
1か月前
個人
知財出願支援AIシステム
1か月前
個人
AIによる情報の売買の仲介
1か月前
株式会社カクシン
支援装置
2か月前
個人
行動時間管理システム
1か月前
個人
パスワード管理支援システム
28日前
株式会社キーエンス
受発注システム
7日前
株式会社キーエンス
受発注システム
7日前
個人
海外支援型農作物活用システム
20日前
個人
AIキャラクター制御システム
28日前
個人
食品レシピ生成システム
7日前
個人
アンケート支援システム
2か月前
株式会社キーエンス
受発注システム
7日前
個人
システム及びプログラム
21日前
株式会社アジラ
進入判定装置
1か月前
個人
パスポートレス入出国システム
1か月前
日本精機株式会社
施工管理システム
1か月前
個人
未来型家系図構築システム
20日前
個人
人格進化型対話応答制御システム
28日前
キヤノン株式会社
表示システム
7日前
個人
冷凍加工連携型農場運用システム
1か月前
続きを見る
他の特許を見る