TOP
|
特許
|
意匠
|
商標
特許ウォッチ
Twitter
他の特許を見る
10個以上の画像は省略されています。
公開番号
2025144188
公報種別
公開特許公報(A)
公開日
2025-10-02
出願番号
2024043850
出願日
2024-03-19
発明の名称
重金属の不溶化方法
出願人
国立大学法人東北大学
,
株式会社熊谷組
代理人
個人
,
個人
主分類
B09C
1/08 20060101AFI20250925BHJP(固体廃棄物の処理;汚染土壌の再生)
要約
【課題】
砒素などの重金属を含む汚染土壌の浄化に向けて、汚染土壌中の重金属を効率よく不溶化し、かつ土壌性状への影響が少ない、簡便な不溶化方法を提供する。
【解決手段】
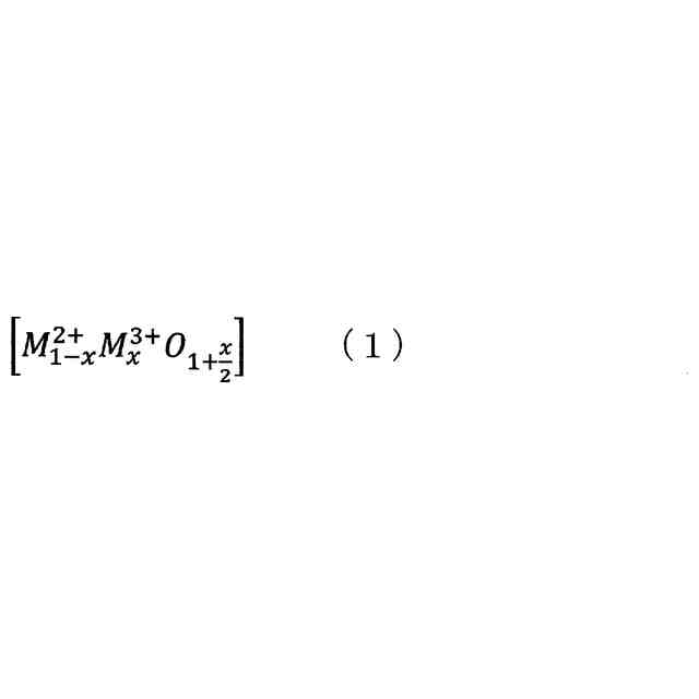
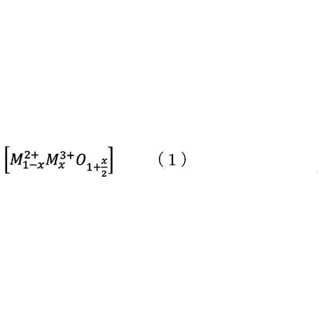
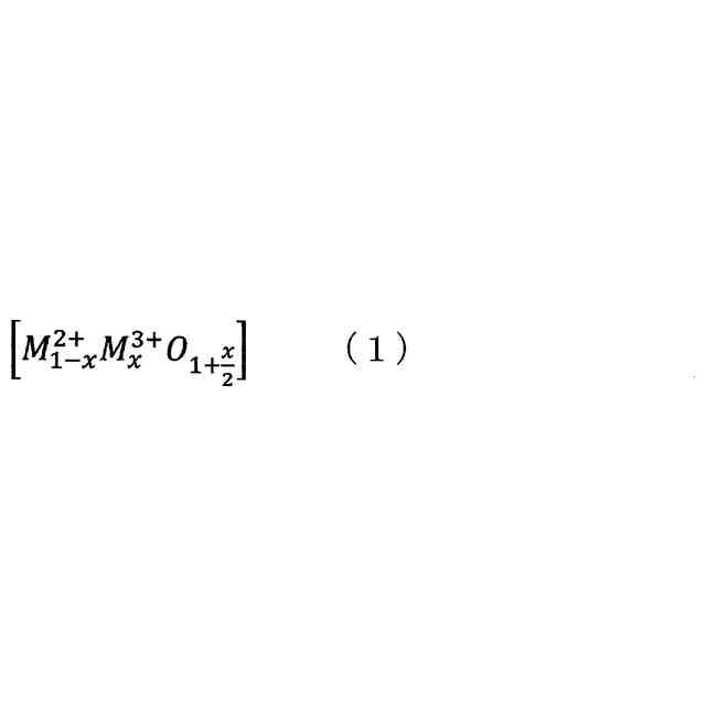
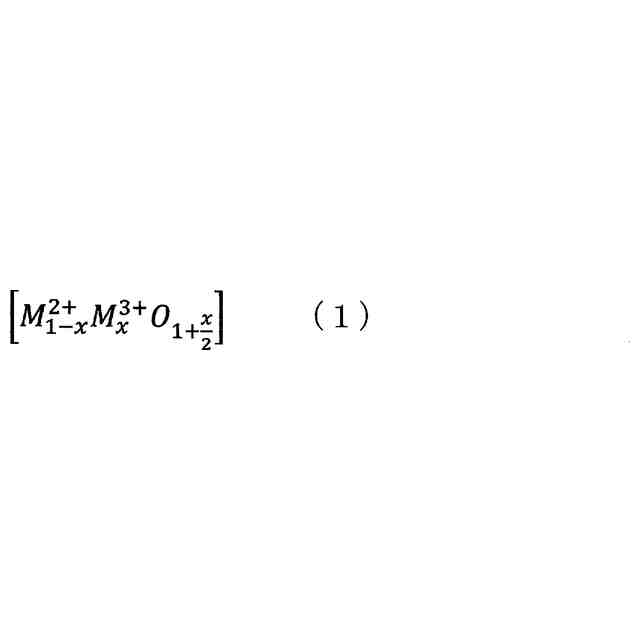
重金属を含む汚染土壌と、層状複酸化物を含む不溶化剤とを接触させることを含み、前記層状複酸化物が下式(1)で表される組成を有し、前記層状複酸化物の平均細孔径が2~10nmである、汚染土壌中の重金属の不溶化方法。
【化1】
<com:Image com:imageContentCategory="Drawing"> <com:ImageFormatCategory>TIFF</com:ImageFormatCategory> <com:FileName>2025144188000010.tif</com:FileName> <com:HeightMeasure com:measureUnitCode="Mm">12</com:HeightMeasure> <com:WidthMeasure com:measureUnitCode="Mm">166</com:WidthMeasure> </com:Image> 【選択図】なし
特許請求の範囲
【請求項1】
重金属を含む汚染土壌と、層状複酸化物を含む不溶化剤とを接触させることを含み、
前記層状複酸化物が下式(1)で表される組成を有し、前記層状複酸化物の平均細孔径が2~10nmである、汚染土壌中の重金属の不溶化方法。
TIFF
2025144188000009.tif
12
166
(式中、M
2+
は、Cu
2+
、Mn
2+
、Mg
2+
、Fe
2+
、Ca
2+
、Ni
2+
、Zn
2+
、Co
2+
及びCd
2+
からなる群から選択される1種以上の2価の金属イオンである。M
3+
は、Al
3+
、Cr
3+
、Fe
3+
、Co
3+
、In
3+
、Mn
3+
及びV
3+
からなる群から選択される1種以上の3価の金属イオンである。xは0.20~0.33である。)
続きを表示(約 530 文字)
【請求項2】
前記不溶化剤が、MgAl層状複酸化物、及びMgFeAl層状複酸化物からなる群から選択される少なくとも1種を含む、請求項1に記載の汚染土壌中の重金属の不溶化方法。
【請求項3】
前記不溶化剤が、MgFeAl層状複酸化物を含む、請求項2に記載の汚染土壌中の重金属の不溶化方法。
【請求項4】
前記MgAl層状複酸化物の比表面積が340~380m
2
/gであり、前記MgFeAl層状複酸化物の比表面積が220~250m
2
/gである、請求項2に記載の汚染土壌中の重金属の不溶化方法。
【請求項5】
前記重金属が、砒素、鉛、カドミウム、銅、六価クロム、セレン、及びアンチモンからなる群から選択される少なくとも1種を含む、請求項1~4のいずれか1項に記載の汚染土壌中の重金属の不溶化方法。
【請求項6】
前記重金属が、砒素を含む、請求項5に記載の汚染土壌中の重金属の不溶化方法。
【請求項7】
前記重金属を含む汚染土壌の全質量に対して、前記不溶化剤の使用量が0.5~10質量%である、請求項1に記載の汚染土壌中の重金属の不溶化方法。
発明の詳細な説明
【技術分野】
【0001】
本発明の実施形態は、重金属を含む汚染土壌の浄化方法に関し、より詳細には、汚染土壌中の重金属を不溶化する方法に関する。
続きを表示(約 1,800 文字)
【背景技術】
【0002】
従来から、砒素及び鉛といった重金属による土壌汚染が問題視されている。特に、砒素は、発癌性を有し、人の健康に影響を及ぼす有害な物質であるため、「土壌汚染対策法」の規制対象物質となっている。そのため、砒素を含む重金属によって汚染された土壌を浄化する様々な方法が検討されている。
【0003】
汚染土壌の浄化方法の一例として、重金属などの汚染物質を不溶化する方法が知られている。不溶化方法では、重金属などの汚染物質を吸着するか、又は土壌と一緒に固化させる不溶化剤を使用し、汚染土壌から汚染物質が雨水などによって溶出しないようにする。汚染土壌の浄化に向けて不溶化方法を適用した場合、不溶化された重金属などの汚染物質は引き続き土壌中に保持されることから、不溶化が不十分であると再汚染が生じる可能性がある。したがって、汚染物質を十分に不溶化できる不溶化剤の開発が望まれている。
【先行技術文献】
【特許文献】
【0004】
特開2002-119950号公報
【発明の概要】
【発明が解決しようとする課題】
【0005】
上記不溶化方法で使用される代表的な不溶化剤として、石灰、石膏、鉄塩、マグネシウム、セメントなどを含む不溶化剤が知られている(例えば、特許文献1)。しかし、従来の不溶化剤を使用した場合、pHおよび土壌含水比などの土壌性状が極端に変化することがある。土壌性状の極端な変化は土壌再利用の観点から望ましくなく、例えばpHを調整するために中和剤などを使用した後処理が必要となる場合がある。また、汚染物質の特性を考慮して、不溶化剤として複数成分を配合して使用することもあり、複数成分の配合比の調整が必要となる場合がある。
【0006】
上述のように、従来の不溶化剤を使用した不溶化方法では、不溶化剤の取扱い性及び不溶化後の土壌性状の保持などの観点で課題がある。このようなことから、汚染土壌の浄化に向けて、不溶化効果が高く、複数成分の配合調整などを必要としない、さらに、処理後の土壌性状への影響が少なく、後処理工程などを必要としない、簡便な不溶化方法が望まれている。
【0007】
したがって、上述の状況に鑑み、本発明の実施形態は、汚染土壌の浄化に向けて、汚染土壌中の重金属の不溶化効果が高く、土壌性状への影響が少なく、簡便な不溶化方法を提供する。
【課題を解決するための手段】
【0008】
本発明者らは、汚染土壌中の重金属の不溶化について様々な検討を行い、特定の層状複酸化物が重金属の吸着性に優れ、かつ土壌性状への影響が少なく、不溶化剤として有益であることを見出し、本発明を完成するに至った。すなわち、本発明は、以下に記載する実施形態に関する。但し、本発明は、以下に記載する実施形態に限定されるものではなく、様々な実施形態を含む。
【0009】
<1>重金属を含む汚染土壌と、層状複酸化物を含む不溶化剤とを接触させることを含み、前記層状複酸化物が下式(1)で表される組成を有し、前記層状複酸化物の平均細孔径が2~10nmである、汚染土壌中の重金属の不溶化方法。
【0010】
TIFF
2025144188000001.tif
12
166
(式中、M
2+
は、Cu
2+
、Mn
2+
、Mg
2+
、Fe
2+
、Ca
2+
、Ni
2+
、Zn
2+
、Co
2+
及びCd
2+
からなる群から選択される1種以上の2価の金属イオンである。M
3+
は、Al
3+
、Cr
3+
、Fe
3+
、Co
3+
、In
3+
、Mn
3+
及びV
3+
からなる群から選択される1種以上の3価の金属イオンである。xは0.20~0.33である。)
(【0011】以降は省略されています)
この特許をJ-PlatPat(特許庁公式サイト)で参照する
関連特許
国立大学法人東北大学
異物吸引装置
1か月前
国立大学法人東北大学
重金属の不溶化方法
今日
国立大学法人東北大学
発電素子、発電装置
27日前
国立大学法人東北大学
インフラマソーム阻害剤
27日前
デンカ株式会社
模擬臓器
1か月前
国立大学法人東北大学
チタン合金とその製造方法
27日前
国立大学法人東北大学
脊髄梗塞治療のための多能性幹細胞
1か月前
株式会社C&A
合金部材および製品
15日前
富士産業株式会社
骨格筋分化促進剤
今日
信越化学工業株式会社
磁気ドメイン構造体
1か月前
京セラ株式会社
半導体装置及びその製造方法
22日前
国立大学法人東北大学
運転者の疲労推定システムおよび運転者の疲労推定方法
15日前
日本電気株式会社
分析装置、分析方法、およびプログラム
1か月前
NTT株式会社
推論装置、学習装置、推論方法、及びプログラム
13日前
ヤマサ醤油株式会社
改変型バソプレシン受容体を発現する培養細胞
1か月前
国立大学法人 東京大学
推定装置、及びプログラム
14日前
JFEエンジニアリング株式会社
放射性核種の製造方法及び放射性核種の製造装置
29日前
一般財団法人ファインセラミックスセンター
抗菌性セラミックス膜およびその製造方法
21日前
NECプラットフォームズ株式会社
疼痛検知装置、疼痛検知方法及び疼痛検知プログラム
15日前
株式会社JCU
ハイブリッド接合用基板、ハイブリッド接合構造、及びそれらの製造方法
24日前
株式会社国際電気通信基礎技術研究所
親局装置、端末装置、無線通信方法、及びプログラム
3日前
大日本印刷株式会社
反射装置、反射装置の製造方法、移相器、及び、フェーズドアレイアンテナ
22日前
三井金属鉱業株式会社
プロトン電子混合伝導体、電極、燃料電池のセル、水蒸気電解セル及び水素透過膜
27日前
国立大学法人東京科学大学
燃料デブリの固化方法および固化体
3日前
国立大学法人東北大学
メタマテリアルの製造方法、コーティング装置、メタマテリアル製造システム、並びにメタマテリアル及びその物品
13日前
コニカミノルタ株式会社
発光性粒子、標識用発光性粒子、発光性粒子の製造方法、評価方法、酸素濃度評価方法及び活性度評価方法
3日前
国立大学法人東北大学
透析による目標時間除水量、又は単位時間ごとの血圧低下の発生の事前予測を支援する方法、支援装置、支援プログラム、及び支援システム
1か月前
国立大学法人東北大学
推定寒中期間出力装置、推定寒中期間マップ生成装置、推定寒中期間出力プログラム、推定寒中期間マップ生成プログラム、コンクリート工事方法、及びコンクリート建造物の製造方法
1か月前
ダイハツ工業株式会社
発酵システム
1か月前
トヨタ自動車株式会社
空箱処理装置
1か月前
トヨタ自動車株式会社
空箱処理装置
1か月前
花王株式会社
焼却灰の処理方法
13日前
花王株式会社
焼却灰の処理方法
13日前
トヨタ自動車株式会社
バイオ炭製造方法
21日前
テクニカ合同株式会社
廃棄鶏の処理方法
13日前
株式会社トクヤマ
石膏粒体のか焼方法
1か月前
続きを見る
他の特許を見る