TOP
|
特許
|
意匠
|
商標
特許ウォッチ
Twitter
他の特許を見る
10個以上の画像は省略されています。
公開番号
2025145719
公報種別
公開特許公報(A)
公開日
2025-10-03
出願番号
2024046044
出願日
2024-03-22
発明の名称
アキシャルピストン式液圧回転機
出願人
日立建機株式会社
代理人
弁理士法人広和特許事務所
主分類
F04B
1/2071 20200101AFI20250926BHJP(液体用容積形機械;液体または圧縮性流体用ポンプ)
要約
【課題】漏れ流量の低減と接触面圧の緩和とを両立できるアキシャルピストン式液圧回転機を提供する。
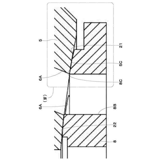
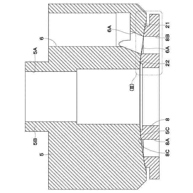
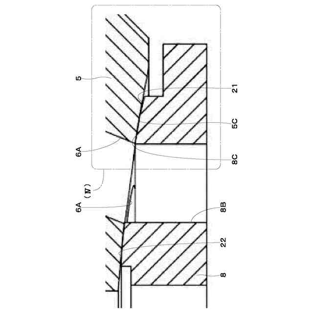
【解決手段】アキシャルピストン式液圧回転機である油圧ポンプ1は、シリンダブロック5と、複数のピストン7と、弁板8と、を備えている。シリンダブロック5は、シリンダポート6Aが開口する円環状の第1摺接面5Cを有している。弁板8は、シリンダブロック5の第1摺接面5Cと摺接する円環状の第2摺接面8Cを有している。弁板8の第2摺接面8Cの外周縁には、この外周縁から径方向に離れる程、シリンダブロック5から離れる方向に傾斜する外径側テーパ面21が設けられている。また、弁板8の第2摺接面8Cの内周縁には、この内周縁から径方向に離れる程、シリンダブロック5から離れる方向に傾斜する内径側テーパ面22が設けられている。
【選択図】図3
特許請求の範囲
【請求項1】
周方向に離隔して軸方向に延びる複数のシリンダ、および、前記複数のシリンダのそれぞれのシリンダポートが開口する円環状の第1摺接面、を有するシリンダブロックと、
前記シリンダブロックの前記複数のシリンダ内にそれぞれ往復動可能に挿入された複数のピストンと、
前記シリンダブロックの前記第1摺接面と摺接する円環状の第2摺接面、および、前記第2摺接面に開口し前記シリンダポートを介して前記複数のシリンダと間欠的に連通する吸入ポートおよび吐出ポート、を有する弁板と、
を備えたアキシャルピストン式液圧回転機において、
前記第1摺接面の外周縁と内周縁と前記第2摺接面の外周縁と内周縁とのうちの少なくともいずれかの周縁には、この周縁に全周にわたって接続し、かつ、この周縁から径方向に離れる程この周縁が摺接する相手部材から離れる方向に傾斜する円環状のテーパ面が設けられている、
ことを特徴とするアキシャルピストン式液圧回転機。
続きを表示(約 990 文字)
【請求項2】
前記テーパ面とこのテーパ面と接続する摺接面との境界となる周縁において、前記摺接面に接し、かつ、前記摺接面の径方向に延びる仮想線を仮想接線とした場合に、
前記仮想接線と前記テーパ面とのなす角度は、10°以下である、
ことを特徴とする請求項1に記載のアキシャルピストン式液圧回転機。
【請求項3】
前記テーパ面とこのテーパ面と接続する摺接面との境界となる周縁において、前記摺接面に接し、かつ、前記摺接面の径方向に延びる仮想線を仮想接線とした場合に、
前記仮想接線と前記テーパ面とのなす角度は、前記シリンダブロックの中心軸線が前記弁板の中心軸線に対して相対的に傾斜する最大角度より大きい、
ことを特徴とする請求項1に記載のアキシャルピストン式液圧回転機。
【請求項4】
前記シリンダブロックの前記第1摺接面は、凹球面であり、
前記弁板の前記第2摺接面は、凸球面であり、
前記第1摺接面の曲率半径と前記第2摺接面の曲率半径とが一致する、
ことを特徴とする請求項1に記載のアキシャルピストン式液圧回転機。
【請求項5】
前記第2摺接面の外周縁には、この外周縁に全周にわたって接続し、かつ、この外周縁から径方向に離れる程、前記相手部材となる前記シリンダブロックから離れる方向に傾斜する円環状の外径側テーパ面が設けられている、
ことを特徴とする請求項1に記載のアキシャルピストン式液圧回転機。
【請求項6】
前記第2摺接面の内周縁には、この内周縁に全周にわたって接続し、かつ、この内周縁から径方向に離れる程、前記相手部材となる前記シリンダブロックから離れる方向に傾斜する円環状の内径側テーパ面が設けられている、
ことを特徴とする請求項1に記載のアキシャルピストン式液圧回転機。
【請求項7】
前記複数のピストンのそれぞれの端部は、シューを介して斜板と摺動する、
ことを特徴とする請求項1に記載のアキシャルピストン式液圧回転機。
【請求項8】
前記複数のピストンのそれぞれの端部は、ドライブディスクに揺動可能に支持される、
ことを特徴とする請求項1に記載のアキシャルピストン式液圧回転機。
発明の詳細な説明
【技術分野】
【0001】
本開示は、油圧ショベル、油圧クレーン、ホイールローダ等の建設機械に搭載され、油圧ポンプまたは油圧モータとして用いられるアキシャルピストン式液圧回転機に関する。
続きを表示(約 2,100 文字)
【背景技術】
【0002】
例えば、特許文献1および特許文献2には、シリンダブロックと、ピストンと、斜板と、弁板と、を備えた液圧回転機が記載されている。特許文献1の液圧回転機は、シリンダブロックに設けられた凹球面状の摺接面の曲率半径を弁板に設けられた凸球面状の摺接面の曲率半径よりも大きくしている。これにより、シリンダブロックの摺接面の外周縁側と弁板の摺接面の外周縁側との間に、微小隙間を設けている。特許文献2の液圧回転機は、シリンダブロックの摺接面または弁板の摺接面に円環状の浅溝を設けている。
【先行技術文献】
【特許文献】
【0003】
特開2014-037783号公報
特開2016-094912号公報
【発明の概要】
【発明が解決しようとする課題】
【0004】
特許文献1の液圧回転機は、シリンダブロックと弁板との間に微小隙間が設けられているため、シリンダブロックと弁板との間から漏れる作動油の流量(漏れ流量)が増大する可能性がある。特許文献2の液圧回転機も、摺接面に浅溝が設けられているため、作動油の漏れ流量が増大する可能性がある。これに対して、例えば、シリンダブロックの摺接面の曲率半径と弁板の摺接面の曲率半径とを近付けると、漏れ流量を低減できる。しかし、そのままでは、シリンダブロックと弁板との片当たりが発生したときに、シリンダブロックと弁板との接触面圧が高くなる可能性がある。そして、面圧が高くなることにより、過度の摩耗、焼き付きが生じるおそれがある。
【0005】
本発明の目的は、漏れ流量の低減と接触面圧の緩和とを両立できるアキシャルピストン式液圧回転機を提供することにある。
【課題を解決するための手段】
【0006】
本発明は、好ましくは、周方向に離隔して軸方向に延びる複数のシリンダ、および、前記複数のシリンダのそれぞれのシリンダポートが開口する円環状の第1摺接面、を有するシリンダブロックと、前記シリンダブロックの前記複数のシリンダ内にそれぞれ往復動可能に挿入された複数のピストンと、前記シリンダブロックの前記第1摺接面と摺接する円環状の第2摺接面、および、前記第2摺接面に開口し前記シリンダポートを介して前記複数のシリンダと間欠的に連通する吸入ポートおよび吐出ポート、を有する弁板と、を備えたアキシャルピストン式液圧回転機において、前記第1摺接面の外周縁と内周縁と前記第2摺接面の外周縁と内周縁とのうちの少なくともいずれかの周縁には、この周縁に全周にわたって接続し、かつ、この周縁から径方向に離れる程この周縁が摺接する相手部材から離れる方向に傾斜する円環状のテーパ面が設けられている。
【発明の効果】
【0007】
本発明によれば、漏れ流量の低減と接触面圧の緩和とを両立できる。
【図面の簡単な説明】
【0008】
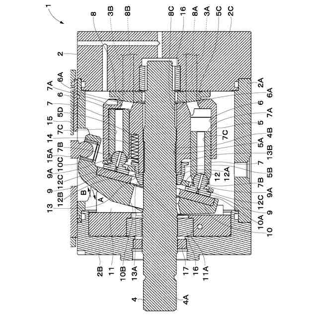
実施形態によるアキシャルピストン式液圧回転機を示す縦断面図である。
シリンダブロックおよび弁板を示す縦断面図である。
図2中の(III)部を示す拡大断面図である。
図3中の(IV)部を示す拡大断面図である。
弁板の摺接面とテーパ面との境界を示す拡大断面図である。
実施形態による弁板を示す正面図である。
第1の変形例による弁板を示す正面図である。
第2の変形例による弁板を示す正面図である。
シリンダブロックが弁板に対して傾斜した状態を誇張して示す縦断面図である。
図9中の(X)部を示す拡大断面図である。
シリンダブロックが弁板に対して傾斜していない状態を示す図10と同様位置の拡大断面図である。
実施形態と参考例との効率差を示す説明図である。
参考例の弁板(テーパ面が設けられていない弁板)を示す正面図である。
【発明を実施するための形態】
【0009】
以下、実施形態および変形例によるアキシャルピストン式液圧回転機を、例えば油圧ポンプ(可変容量型斜板式油圧ポンプ)として用いる場合を例に挙げ、添付図面を参照しつつ詳細に説明する。
【0010】
図1ないし図6は、実施形態を示している。図1において、可変容量型斜板式油圧ポンプ1(以下、油圧ポンプ1という)は、ケーシング2と、回転軸4と、シリンダブロック5と、複数のシリンダ6と、複数のピストン7と、弁板8と、複数のシュー9と、斜板10と、クレードル11と、リテーナ12と、リテーナガイド13と、ばね14と、傾転アクチュエータ15と、を備えている。油圧ポンプ1は、例えば油圧ショベルの原動機(駆動源となるエンジンや電動モータ)に接続された回転軸4が回転駆動され、タンク内から吸込んだ複数のシリンダ6内の作動油を高圧の圧油として吐出する。
(【0011】以降は省略されています)
この特許をJ-PlatPat(特許庁公式サイト)で参照する
関連特許
日立建機株式会社
建設機械
1日前
日立建機株式会社
建設機械
1か月前
日立建機株式会社
建設機械
5日前
日立建機株式会社
作業機械
9日前
日立建機株式会社
油圧機器
1日前
日立建機株式会社
作業機械
15日前
日立建機株式会社
作業機械
23日前
日立建機株式会社
作業機械
1か月前
日立建機株式会社
作業機械
1か月前
日立建機株式会社
作業機械
2か月前
日立建機株式会社
作業機械
2日前
日立建機株式会社
建設機械
2か月前
日立建機株式会社
建設機械
2か月前
日立建機株式会社
作業機械
2か月前
日立建機株式会社
作業機械
3か月前
日立建機株式会社
建設機械
3か月前
日立建機株式会社
作業機械
3か月前
日立建機株式会社
作業車両
3か月前
日立建機株式会社
作業車両
3か月前
日立建機株式会社
作業機械
5日前
日立建機株式会社
作業機械
3か月前
日立建機株式会社
作業機械
2日前
日立建機株式会社
作業機械
1日前
日立建機株式会社
建設機械
1日前
日立建機株式会社
作業機械
1日前
日立建機株式会社
建設機械
1日前
日立建機株式会社
作業車両
1日前
日立建機株式会社
作業機械
1日前
日立建機株式会社
作業機械
1日前
日立建機株式会社
液冷式抵抗器
1日前
日立建機株式会社
情報処理装置
2か月前
日立建機株式会社
油圧システム
5日前
日立建機株式会社
動力伝達装置
1日前
日立建機株式会社
電子機器装置
2か月前
日立建機株式会社
電動式建設機械
2か月前
日立建機株式会社
ダンプトラック
2か月前
続きを見る
他の特許を見る