TOP
|
特許
|
意匠
|
商標
特許ウォッチ
Twitter
他の特許を見る
10個以上の画像は省略されています。
公開番号
2025117364
公報種別
公開特許公報(A)
公開日
2025-08-12
出願番号
2024012162
出願日
2024-01-30
発明の名称
積層セラミック電子部品及びその製造方法
出願人
太陽誘電株式会社
代理人
個人
主分類
H01G
4/30 20060101AFI20250804BHJP(基本的電気素子)
要約
【課題】誘電体層の寿命特性を改善することを目的とする。
【解決手段】積層セラミック電子部品は、内部電極層と誘電体層とが交互に積層されて形成された素体を備え、前記誘電体層は、コア部と、当該コア部の周囲に設けられた第1シェル層と、当該第1シェル層の周囲に設けられた第2シェル層とを備えたコアシェル粒子を含み、隣接する前記コアシェル粒子間に粒界を備え、前記第1シェル層におけるドナー元素の濃度と前記第2シェル層におけるドナー元素の濃度は、それぞれ前記コア部におけるドナー元素の濃度よりも高い。
【選択図】図4
特許請求の範囲
【請求項1】
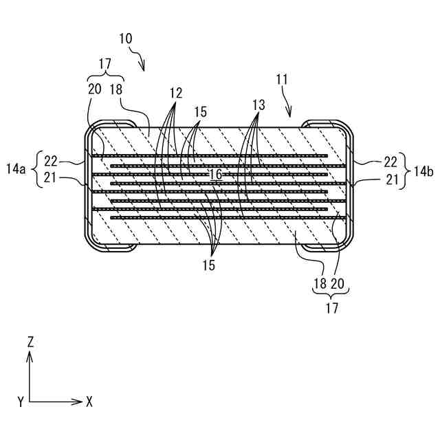
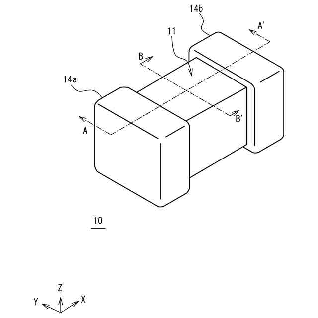
内部電極層と誘電体層とが交互に積層されて形成された素体を備え、
前記誘電体層は、コア部と、当該コア部の周囲に設けられた第1シェル層と、当該第1シェル層の周囲に設けられた第2シェル層とを備えたコアシェル粒子を含み、
隣接する前記コアシェル粒子間に粒界を備え、
前記第1シェル層におけるドナー元素の濃度と前記第2シェル層におけるドナー元素の濃度は、それぞれ前記コア部におけるドナー元素の濃度よりも高い、
積層セラミック電子部品。
続きを表示(約 800 文字)
【請求項2】
前記第2シェル層におけるドナー元素の濃度は、前記第1シェル層のドナー元素の濃度よりも高い、
請求項1に記載の積層セラミック電子部品。
【請求項3】
前記第2シェル層における前記ドナー元素の濃度は、BaTiO
3
を100at%としたとき、0.1at%以上3.0at%以下である、
請求項1に記載の積層セラミック電子部品。
【請求項4】
前記第1シェル層における前記ドナー元素の濃度は、BaTiO
3
を100at%としたとき、0.01at%以上0.5at%以下である、
請求項1に記載の積層セラミック電子部品。
【請求項5】
前記第2シェル層に含まれる前記ドナー元素は、V元素とMo元素の少なくとも一方である、
請求項1に記載の積層セラミック電子部品。
【請求項6】
前記粒界は、Mn元素を含む、
請求項1に記載の積層セラミック電子部品。
【請求項7】
前記粒界における前記Mn元素の濃度は、BaTiO
3
を100at%としたとき、0.05at%以上3.0at%以下である、
請求項6に記載の積層セラミック電子部品。
【請求項8】
前記コアシェル粒子の前記誘電体層における存在比率は、0.01at%以上99%以下である、
請求項1に記載の積層セラミック電子部品。
【請求項9】
前記第2シェル層の厚さは、0nmよりも広く12nm以下である、
請求項1に記載の積層セラミック電子部品。
【請求項10】
前記第1シェル層は、希土類元素及びMg元素を含む、
請求項1に記載の積層セラミック電子部品。
(【請求項11】以降は省略されています)
発明の詳細な説明
【技術分野】
【0001】
本発明は、積層セラミック電子部品及びその製造方法に関する。
続きを表示(約 1,100 文字)
【背景技術】
【0002】
昨今、積層セラミックコンデンサなどの積層セラミック電子部品の小型大容量化が進められている。このような要求に応えるべく、誘電体層を形成する材料は誘電率が高められる傾向にある。また、誘電体層の厚みは薄くなり、誘電体層の積層数は増加する傾向にある。このような誘電体層は、信頼性も求められる。従来、原料粉末に予め特定の元素を固溶させておく手法が有効であることが知られており、寿命特性の向上を目的として、ドナー元素を添加する技術が提案されている(例えば、特許文献1参照)。
【先行技術文献】
【特許文献】
【0003】
特開2016-139720号公報
【発明の概要】
【発明が解決しようとする課題】
【0004】
しかしながら、誘電体層の厚みが小さく積層数も増加している近年においては、更なる寿命特性の向上が求められている。
【0005】
そこで、本発明の目的は、誘電体層の寿命特性を改善することにある。
【課題を解決するための手段】
【0006】
上記目的を達成するため、積層セラミック電子部品は、内部電極層と誘電体層とが交互に積層されて形成された素体を備え、前記誘電体層は、コア部と、当該コア部の周囲に設けられた第1シェル層と、当該第1シェル層の周囲に設けられた第2シェル層とを備えたコアシェル粒子を含み、隣接する前記コアシェル粒子間に粒界を備え、前記第1シェル層におけるドナー元素の濃度と前記第2シェル層におけるドナー元素の濃度は、それぞれ前記コア部におけるドナー元素の濃度よりも高い態様とすることができる。
【0007】
上記構成の積層セラミック電子部品において、前記第2シェル層におけるドナー元素の濃度は、前記第1シェル層のドナー元素の濃度よりも高い態様であってもよい。
【0008】
上記構成の積層セラミック電子部品において、前記第2シェル層における前記ドナー元素の濃度は、BaTiO
3
を100at%としたとき、0.1at%以上3.0at%以下である態様とすることができる。
【0009】
上記構成の積層セラミック電子部品において、前記第1シェル層における前記ドナー元素の濃度は、BaTiO
3
を100at%としたとき、0.01at%以上0.5at%以下である態様とすることができる。
【0010】
上記構成の積層セラミック電子部品において、前記第2シェル層に含まれる前記ドナー元素は、V元素とMo元素の少なくとも一方である態様とすることができる。
(【0011】以降は省略されています)
この特許をJ-PlatPat(特許庁公式サイト)で参照する
関連特許
太陽誘電株式会社
感覚提示システム
1か月前
太陽誘電株式会社
積層セラミック電子部品
1か月前
太陽誘電株式会社
電動アシスト車の制御装置
1か月前
太陽誘電株式会社
フィルタ及びマルチプレクサ
1か月前
太陽誘電株式会社
特徴量取得装置および特徴量取得方法
14日前
太陽誘電株式会社
積層セラミックコンデンサ及び回路基板
4日前
太陽誘電株式会社
積層セラミックコンデンサ及び回路基板
4日前
太陽誘電株式会社
積層セラミックコンデンサ及び回路基板
7日前
太陽誘電株式会社
積層セラミックコンデンサ及び回路基板
1か月前
太陽誘電株式会社
圧電トランスデューサおよび電気音響装置
2日前
太陽誘電株式会社
積層セラミック電子部品及びその製造方法
1か月前
太陽誘電株式会社
積層セラミック電子部品及びその製造方法
1か月前
太陽誘電株式会社
積層セラミック電子部品及びその製造方法
23日前
太陽誘電株式会社
電子部品の検査方法および電子部品の製造方法
4日前
太陽誘電株式会社
積層セラミック電子部品および誘電体磁器組成物
2か月前
太陽誘電株式会社
存在検知システム、存在判定装置および存在判定方法
14日前
太陽誘電株式会社
測位システム、測位装置、測位方法、および測位プログラム
23日前
太陽誘電株式会社
弾性波デバイス、フィルタ、及び弾性波デバイスの製造方法
14日前
太陽誘電株式会社
測位システム、測位装置、測位方法、および測位プログラム
23日前
太陽誘電株式会社
セラミック電子部品
3日前
太陽誘電株式会社
弾性波デバイス、フィルタ、マルチプレクサ、及び弾性波デバイスの製造方法
1か月前
太陽誘電株式会社
弾性波デバイス、フィルタ、マルチプレクサ、及び弾性波デバイスの製造方法
1か月前
住友ベークライト株式会社
感応膜用組成物、感応膜、におい検出素子、および、においセンサー
7日前
住友ベークライト株式会社
感応膜用組成物、感応膜、におい検出素子、および、においセンサー
7日前
太陽誘電株式会社
劣化検出装置、劣化検出システム、劣化検出方法、重量測定装置、重量測定方法およびプログラム
1か月前
個人
安全なNAS電池
28日前
日本発條株式会社
積層体
4日前
東レ株式会社
多孔質炭素シート
23日前
個人
フリー型プラグ安全カバー
1か月前
ローム株式会社
半導体装置
2日前
個人
防雪防塵カバー
4日前
エイブリック株式会社
半導体装置
25日前
ローム株式会社
半導体装置
2日前
キヤノン株式会社
電子機器
23日前
エイブリック株式会社
半導体装置
25日前
ローム株式会社
半導体装置
2日前
続きを見る
他の特許を見る