TOP
|
特許
|
意匠
|
商標
特許ウォッチ
Twitter
他の特許を見る
10個以上の画像は省略されています。
公開番号
2025141406
公報種別
公開特許公報(A)
公開日
2025-09-29
出願番号
2024041319
出願日
2024-03-15
発明の名称
プリントヘッド、及び液体吐出装置
出願人
セイコーエプソン株式会社
代理人
個人
,
個人
,
個人
,
個人
主分類
B41J
2/14 20060101AFI20250919BHJP(印刷;線画機;タイプライター;スタンプ)
要約
【課題】残留振動の検出速度の高速化が可能なプリントヘッドを提供すること。
【解決手段】駆動信号に応じて体積が変化する第1圧力室と、前記第1圧力室と連通し、液体を吐出する第1ノズルと、前記第1圧力室の体積変化によって生じる第1残留振動に応じた第1残留振動信号を出力する第1圧電素子と、一端に前記駆動信号が入力され、他端が前記第1圧電素子と電気的に接続し、前記駆動信号を前記第1圧電素子に供給するか否かを切り替える第1スイッチ回路と、前記第1残留振動信号に応じた第1残留振動検出信号を出力する第1残留振動検出回路と、を備え、前記第1残留振動検出回路は、一端が前記第1スイッチ回路の一端と電気的に接続し、他端が前記第1スイッチ回路の他端と電気的に接続している、プリントヘッド。
【選択図】図6
特許請求の範囲
【請求項1】
駆動信号に応じて体積が変化する第1圧力室と、
前記第1圧力室と連通し、液体を吐出する第1ノズルと、
前記第1圧力室の体積変化によって生じる第1残留振動に応じた第1残留振動信号を出力する第1圧電素子と、
一端に前記駆動信号が入力され、他端が前記第1圧電素子と電気的に接続し、前記駆動信号を前記第1圧電素子に供給するか否かを切り替える第1スイッチ回路と、
前記第1残留振動信号に応じた第1残留振動検出信号を出力する第1残留振動検出回路と、
を備え、
前記第1残留振動検出回路は、一端が前記第1スイッチ回路の一端と電気的に接続し、他端が前記第1スイッチ回路の他端と電気的に接続している、
ことを特徴とするプリントヘッド。
続きを表示(約 1,600 文字)
【請求項2】
前記第1圧電素子は、前記駆動信号に応じて変位し、
前記第1圧力室の体積は、前記第1圧電素子の変位に応じて変化する、
ことを特徴とする請求項1に記載のプリントヘッド。
【請求項3】
前記駆動信号に応じて前記第1圧力室の体積が変化する第1タイミング、及び前記第1圧電素子が前記第1残留振動に応じた前記第1残留振動信号を出力する第2タイミングにおいて、前記第1スイッチ回路の一端と他端とは、導通に制御されている、
ことを特徴とする請求項1に記載のプリントヘッド。
【請求項4】
前記第1スイッチ回路は、トランジスター素子を含み、
前記第1タイミングにおいて前記トランジスター素子は、線形領域で駆動する、
ことを特徴とする請求項3に記載のプリントヘッド。
【請求項5】
前記駆動信号は、前記第1ノズルから液体が吐出されない程度に前記第1ノズルの近傍の液体を振動させる微振動波形である、
ことを特徴とする請求項1に記載のプリントヘッド。
【請求項6】
前記駆動信号に応じて体積が変化する第2圧力室と、
前記第2圧力室と連通し、液体を吐出する第2ノズルと、
前記第2圧力室の体積変化によって生じる第2残留振動に応じた第2残留振動信号を出力する第2圧電素子と、
一端に前記駆動信号が入力され、他端が前記第2圧電素子と電気的に接続し、前記駆動信号を前記第2圧電素子に供給するか否かを切り替える第2スイッチ回路と、
前記第2残留振動信号に応じた第2残留振動検出信号を出力する第2残留振動検出回路と、
を備え、
前記第2残留振動検出回路は、一端が前記第2スイッチ回路の一端と電気的に接続し、他端が前記第2スイッチ回路の他端と電気的に接続している、
ことを特徴とする請求項1乃至5のいずれか1項に記載のプリントヘッド。
【請求項7】
駆動信号を出力する駆動回路と、
前記駆動信号に応じて体積が変化する第1圧力室と、
前記第1圧力室と連通し、液体を吐出する第1ノズルと、
前記第1圧力室の体積変化によって生じる第1残留振動に応じた第1残留振動信号を出力する第1圧電素子と、
一端に前記駆動信号が入力され、他端が前記第1圧電素子と電気的に接続し、前記駆動信号を前記第1圧電素子に供給するか否かを切り替える第1スイッチ回路と、
前記第1残留振動信号に応じた第1残留振動検出信号を出力する第1残留振動検出回路と、
を備え、
前記第1残留振動検出回路は、一端が前記第1スイッチ回路の一端と電気的に接続し、他端が前記第1スイッチ回路の他端と電気的に接続している、
ことを特徴とする液体吐出装置。
【請求項8】
前記第1圧電素子は、前記駆動信号に応じて変位し、
前記第1圧力室の体積は、前記第1圧電素子の変位に応じて変化する、
ことを特徴とする請求項7に記載の液体吐出装置。
【請求項9】
前記駆動信号に応じて前記第1圧力室の体積が変化する第1タイミング、及び前記第1圧電素子が前記第1残留振動に応じた前記第1残留振動信号を出力する第2タイミングにおいて、前記第1スイッチ回路の一端と他端とは、導通に制御されている、
ことを特徴とする請求項7に記載の液体吐出装置。
【請求項10】
前記第1スイッチ回路は、トランジスター素子を含み、
前記第1タイミングにおいて前記トランジスター素子は、線形領域で駆動する、
ことを特徴とする請求項9に記載の液体吐出装置。
(【請求項11】以降は省略されています)
発明の詳細な説明
【技術分野】
【0001】
本発明は、プリントヘッド、及び液体吐出装置に関する。
続きを表示(約 2,500 文字)
【背景技術】
【0002】
圧電素子が駆動することで吐出部からインクを吐出する液体吐出装置では、特許文献1に記載されるように、圧電素子が駆動した後に生じる残留振動に応じた信号を検出し、当該信号の検出結果に基づいて吐出部の状態を判定する技術が知られている。
【先行技術文献】
【特許文献】
【0003】
特開2015-039856号公報
【発明の概要】
【発明が解決しようとする課題】
【0004】
しかしながら、圧電素子が駆動した後に生じる残留振動の検出に際し、検出速度のさらなる高速化の観点において、特許文献1に記載の技術では十分でなく、さらなる改善の余地があった。
【課題を解決するための手段】
【0005】
本発明に係るプリントヘッドの一態様は、
駆動信号に応じて体積が変化する第1圧力室と、
前記第1圧力室と連通し、液体を吐出する第1ノズルと、
前記第1圧力室の体積変化によって生じる第1残留振動に応じた第1残留振動信号を出力する第1圧電素子と、
一端に前記駆動信号が入力され、他端が前記第1圧電素子と電気的に接続し、前記駆動信号を前記第1圧電素子に供給するか否かを切り替える第1スイッチ回路と、
前記第1残留振動信号に応じた第1残留振動検出信号を出力する第1残留振動検出回路と、
を備え、
前記第1残留振動検出回路は、一端が前記第1スイッチ回路の一端と電気的に接続し、他端が前記第1スイッチ回路の他端と電気的に接続している。
【0006】
本発明に係る液体吐出装置の一態様は、
駆動信号を出力する駆動回路と、
前記駆動信号に応じて体積が変化する第1圧力室と、
前記第1圧力室と連通し、液体を吐出する第1ノズルと、
前記第1圧力室の体積変化によって生じる第1残留振動に応じた第1残留振動信号を出力する第1圧電素子と、
一端に前記駆動信号が入力され、他端が前記第1圧電素子と電気的に接続し、前記駆動信号を前記第1圧電素子に供給するか否かを切り替える第1スイッチ回路と、
前記第1残留振動信号に応じた第1残留振動検出信号を出力する第1残留振動検出回路と、
を備え、
前記第1残留振動検出回路は、一端が前記第1スイッチ回路の一端と電気的に接続し、他端が前記第1スイッチ回路の他端と電気的に接続している。
【図面の簡単な説明】
【0007】
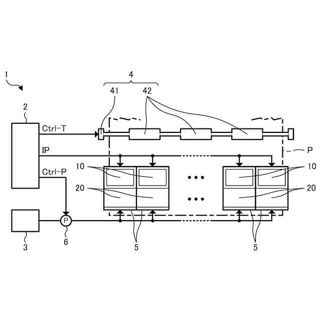
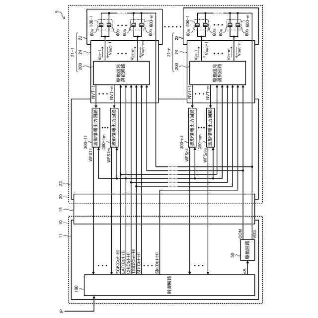
液体吐出装置の概略構成を示す図である。
吐出ユニットの概略構成を示す図である。
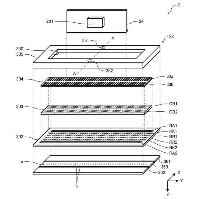
プリントヘッドの分解斜視図である。
図3におけるA-a線の断面図である。
駆動電圧信号COM、ラッチ信号LAT、チェンジ信号CH、及び検査タイミング信号TSIGの信号波形の一例を示す図である。
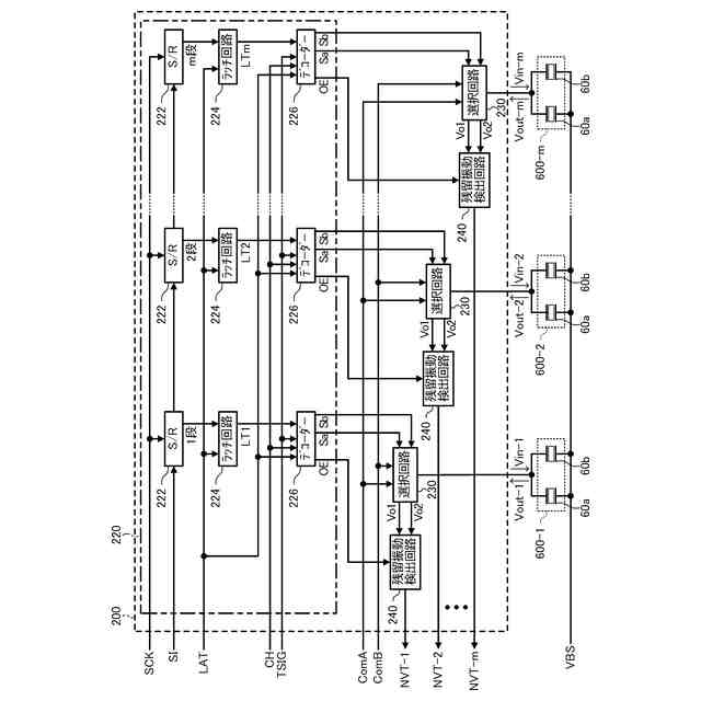
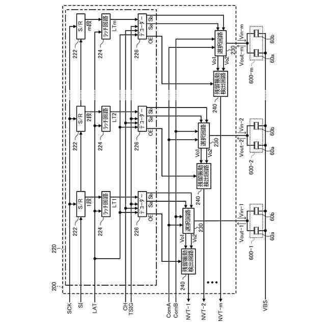
駆動信号選択回路の機能構成の一例を示す図である。
デコーダーにおけるデコード内容の一例を示す図である。
1個の吐出部に対応する選択回路の構成を示す図である。
残留振動検出回路の構成の一例を示す図である。
駆動信号選択回路の動作の一例を示す図である。
波形情報出力回路の構成の一例を示す図である。
波形情報出力回路の動作を説明するための図である。
残留振動信号Vout1,Vout2の一例を示す図である。
圧力室CB1、圧力室CB2、又は振動板304に生じる残留振動を想定した単振動の計算モデルの一例を示す図である。
インクの粘度と残留振動信号Vout1,Vout2の信号波形との関係を説明するため図である。
圧力室CB1,CB2に気泡が混入した場合の残留振動信号Vout1,Vout2の信号波形を説明するための図である。
吐出部が正常な場合の残留振動信号Voutの信号波形の一例を示す図である。
吐出部に増粘異常が生じた場合の残留振動信号Voutの信号波形の一例を示す図である。
吐出部に気泡混入異常が生じた場合の残留振動信号Voutの信号波形の一例を示す図である。
【発明を実施するための形態】
【0008】
以下、本発明の好適な実施形態について図面を用いて説明する。用いる図面は説明の便宜上のものである。なお、以下に説明する実施形態は、特許請求の範囲に記載された本発明の内容を不当に限定するものではない。また、以下で説明される構成の全てが本発明の必須構成要件であるとは限らない。
【0009】
1.液体吐出装置の構成
図1は、液体吐出装置1の概略構成を示す図である。図1に示すように、液体吐出装置1は、搬送ユニット4によって搬送される媒体Pに対して、所望のタイミングで液体の一例としてのインクを吐出することで、媒体Pに所望の画像を形成する所謂ライン方式のインクジェットプリンターである。なお、液体吐出装置1は、ライン方式のインクジェットプリンターに限られるものではなく、シリアル方式のインクジェットプリンターであってもよい。また、液体吐出装置1は、インクジェットプリンターに限られるものではなく、液晶ディスプレイ等のカラーフィルターの製造に用いられる色材吐出装置、有機ELディスプレイ、FED(面発光ディスプレイ)等の電極形成に用いられる電極材料吐出装置、バイオチップ製造に用いられる生体有機物吐出装置等であってもよく、立体造形装置や捺染装置等であってもよい。ここで、以下の説明において、媒体Pが搬送される方向を搬送方向と称し、搬送される媒体Pの幅方向を走査方向と称する場合がある。
【0010】
図1に示すように、液体吐出装置1は、制御ユニット2、液体容器3、搬送ユニット4、複数の吐出ユニット5、及び循環ユニット6を備える。
(【0011】以降は省略されています)
この特許をJ-PlatPat(特許庁公式サイト)で参照する
関連特許
セイコーエプソン株式会社
印刷装置
2日前
セイコーエプソン株式会社
印刷装置
今日
セイコーエプソン株式会社
印刷装置
2日前
セイコーエプソン株式会社
印刷装置
今日
セイコーエプソン株式会社
印刷装置
2日前
セイコーエプソン株式会社
印刷装置
2日前
セイコーエプソン株式会社
画像読取装置
2日前
セイコーエプソン株式会社
液体吐出ヘッド
2日前
セイコーエプソン株式会社
電子制御式機械時計
今日
セイコーエプソン株式会社
スクリーンの製造方法
2日前
セイコーエプソン株式会社
インクジェットインク組成物
2日前
セイコーエプソン株式会社
制御方法およびロボットシステム
2日前
セイコーエプソン株式会社
表示装置および表示装置の制御方法
2日前
セイコーエプソン株式会社
プリントヘッド、及び液体吐出装置
2日前
セイコーエプソン株式会社
ヘッドユニット、及び液体吐出装置
2日前
セイコーエプソン株式会社
ヘッドユニット、及び液体吐出装置
今日
セイコーエプソン株式会社
プログラムの更新方法及び情報処理システム
2日前
セイコーエプソン株式会社
情報管理システム、管理装置、プログラム、及びサーバー
今日
セイコーエプソン株式会社
情報管理システム、管理装置、プログラム、及びサーバー
今日
セイコーエプソン株式会社
テストパターン、撮像制御プログラム、及び、印刷システム
2日前
セイコーエプソン株式会社
再生シート生成システム、再生シート生成方法及びプログラム
2日前
セイコーエプソン株式会社
再生シート生成システム、再生シート生成方法及びプログラム
2日前
セイコーエプソン株式会社
再生シート生成システム、再生シート生成方法及びプログラム
2日前
セイコーエプソン株式会社
シート再生システム、シート再生システムの制御方法、及び、サーバー
2日前
セイコーエプソン株式会社
シート再生システム、シート再生システムの制御方法、及び、サーバー
今日
個人
箔熱転写装置
21日前
シヤチハタ株式会社
印判
4か月前
東レ株式会社
凸版印刷版原版
9か月前
シヤチハタ株式会社
反転式印判
8か月前
三菱製紙株式会社
感熱記録材料
10か月前
三光株式会社
感熱記録材料
5か月前
キヤノン株式会社
記録装置
14日前
独立行政法人 国立印刷局
印刷物
6か月前
株式会社リコー
液体吐出装置
5か月前
独立行政法人 国立印刷局
貼付装置
1か月前
株式会社リコー
画像形成装置
2日前
続きを見る
他の特許を見る