TOP
|
特許
|
意匠
|
商標
特許ウォッチ
Twitter
他の特許を見る
10個以上の画像は省略されています。
公開番号
2025139876
公報種別
公開特許公報(A)
公開日
2025-09-29
出願番号
2024038950
出願日
2024-03-13
発明の名称
プラズマ処理装置
出願人
東京エレクトロン株式会社
代理人
個人
,
個人
,
個人
主分類
H05H
1/46 20060101AFI20250919BHJP(他に分類されない電気技術)
要約
【課題】可変インピーダンスを有し、高周波電源と共振器との間で接続される結合器において伝送される高周波電力に起因する結合器内の最大電圧を抑制する技術を提供する。
【解決手段】開示されるプラズマ処理装置は、チャンバ、高周波電源、導入部、共振器、結合器、及び伝送線路を含む。高周波電源は、出力する高周波電力の周波数を変更可能に構成されている。導入部は、チャンバ内のプラズマ生成領域に電磁波を導入するように配置されている。共振器は、電磁波の入口である給電部を有し、導入部に電磁波を伝搬するための導波路を含む。結合器は、高周波電力の入力部を含み、可変インピーダンスを有し、高周波電源と共振器との間で接続されている。伝送線路は、入力部から結合器を通って給電部までの延びる分布定数線路であり、一定の特性インピーダンスを有する。
【選択図】図1
特許請求の範囲
【請求項1】
チャンバと、
出力する高周波電力の周波数を変更可能な高周波電源と、
前記チャンバ内のプラズマ生成領域に電磁波を導入するように配置された導入部と、
電磁波の入口である給電部を有し、前記導入部に前記電磁波を伝搬するための導波路を含む共振器と、
前記高周波電力の入力部を含み、可変インピーダンスを有し、前記高周波電源と前記共振器との間で接続された結合器と、
前記入力部から前記結合器を通って前記給電部まで延びる分布定数線路であり、一定の特性インピーダンスを有する伝送線路と、
を備えるプラズマ処理装置。
続きを表示(約 1,600 文字)
【請求項2】
前記特性インピーダンスは50Ωである、請求項1に記載のプラズマ処理装置。
【請求項3】
前記結合器は、
前記伝送線路上に設けられた接続点と、
キャパシタ及び/又はインダクタを含み、前記接続点とグランドとの間で接続された可変リアクタンス部と、
を含み、
前記接続点の位置は、前記可変リアクタンス部のリアクタンスを変化させた場合の前記接続点から負荷側を見たインピーダンスに対応する反射係数の変化と、前記高周波電力の前記周波数を変化させた場合の該反射係数の変化とが、互いに直交する実軸と虚軸を有する座標系において、直交するように定められている、
請求項1に記載のプラズマ処理装置。
【請求項4】
前記共振器は、
前記チャンバ及び該共振器の中心軸線の周りで延在する内周部と、
前記中心軸線の周りで延在する外周部と、
前記内周部と外周部との間で交互に折り返す層構造を有する前記導波路と、
を含み、
前記導波路は、
前記層構造の最上層を構成し、前記外周部において上端を有する上部と、
前記層構造の最下層を構成し、前記導入部と結合された下端を含む下部と、
を含み、前記導波路を伝搬する電磁波を、前記上端と前記下端との間で共振させるように構成されており、
前記給電部は、前記上端の内側且つ前記上部に配置されており、
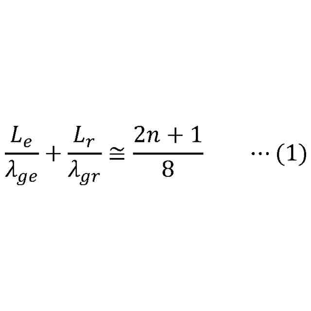
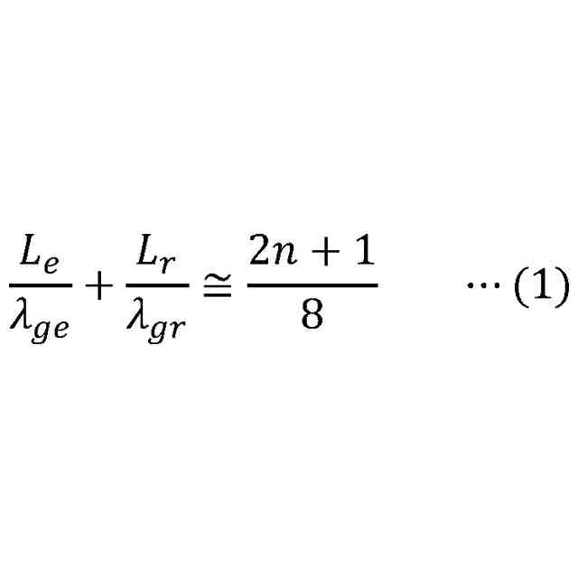
前記接続点の位置は、下記式(1)を満たし、
TIFF
2025139876000004.tif
11
149
ここで、L
r
は、前記給電部と前記上端との間の径方向に沿った長さであり、L
e
は、前記給電部と前記接続点との間の電気長であり、λ
gr
は、前記給電部と前記上端との間での前記共振器の前記導波路における前記電磁波の波長であり、λ
ge
は、前記給電部と前記接続点との間での前記電磁波の波長であり、nは、0又は正の整数である、
請求項3に記載のプラズマ処理装置。
【請求項5】
前記給電部は、該給電部から負荷側のインピーダンスが50Ωとなる径方向の位置に設けられている、請求項4に記載のプラズマ処理装置。
【請求項6】
前記給電部は、該給電部から負荷側のインピーダンスが50Ωとなる径方向の位置に対して外側の位置に設けられている、請求項4に記載のプラズマ処理装置。
【請求項7】
前記給電部は、該給電部から負荷側のインピーダンスが50Ωとなる径方向の位置に対して内側の位置に設けられている、請求項4に記載のプラズマ処理装置。
【請求項8】
前記可変リアクタンス部の前記キャパシタは、バリアブルコンデンサである、請求項3~6の何れか一項に記載のプラズマ処理装置。
【請求項9】
前記キャパシタは、可変容量を有し、
前記接続点に並列接続された複数のキャパシタ要素と、
各々が前記複数のキャパシタ要素のうち対応のキャパシタ要素とグランドとの間で接続されたリレースイッチを含む複数のリレーと、
を含む、
請求項3~6の何れか一項に記載のプラズマ処理装置。
【請求項10】
前記複数のキャパシタ要素それぞれの静電容量は、C
m
=0.5×C
m-1
を満たし、
ここで、C
m
は、前記複数のキャパシタ要素である1番目からM番目のキャパシタ要素のうちm番目のキャパシタ要素の静電容量である、
請求項9に記載のプラズマ処理装置。
(【請求項11】以降は省略されています)
発明の詳細な説明
【技術分野】
【0001】
本開示の例示的実施形態は、プラズマ処理装置に関するものである。
続きを表示(約 2,000 文字)
【背景技術】
【0002】
基板に対するプラズマ処理においてプラズマ処理装置が用いられている。一種のプラズマ処理装置は、チャンバ、高周波電源、共振器、導入部、及び整合器を備えている。高周波電源は、共振器に結合されている。共振器からの電磁波は、導入部からチャンバ内に供給される。整合器は、高周波電源と共振器との間で接続されている。このようなプラズマ処理装置は、下記の特許文献1に記載されている。
整合器がある。
【先行技術文献】
【特許文献】
【0003】
特開2020-92031号公報
【発明の概要】
【発明が解決しようとする課題】
【0004】
本開示は、可変インピーダンスを有し、高周波電源と共振器との間で接続される結合器において伝送される高周波電力に起因する結合器内の最大電圧を抑制する技術を提供する。
【課題を解決するための手段】
【0005】
一つの例示的実施形態において、プラズマ処理装置が開示される。プラズマ処理装置は、チャンバ、高周波電源、導入部、共振器、結合器、及び伝送線路を含む。高周波電源は、出力する高周波電力の周波数を変更可能に構成されている。導入部は、チャンバ内のプラズマ生成領域に電磁波を導入するように配置されている。共振器は、電磁波の入口である給電部を有し、導入部に電磁波を伝搬するための導波路を含む。結合器は、高周波電力の入力部を含み、可変インピーダンスを有し、高周波電源と共振器との間で接続されている。伝送線路は、入力部から結合器を通って給電部まで延びる分布定数線路であり、一定の特性インピーダンスを有する。
【発明の効果】
【0006】
一つの例示的実施形態によれば、可変インピーダンスを有し、高周波電源と共振器との間で接続される結合器において伝送される高周波電力に起因する結合器内の最大電圧を抑制することが可能となる。
【図面の簡単な説明】
【0007】
一つの例示的実施形態に係るプラズマ処理装置を示す図である。
一つの例示的実施形態に係るプラズマ処理装置の共振器における下部を示す図である。
一つの例示的実施形態に係る結合器を示す断面図である。
図3のIV-IV線に沿ってとった断面図である。
一つの例示的実施形態に係る結合器に関連するアドミッタンスチャートである。
別の例示的実施形態に係る結合器を示す断面図である。
図6のVII-VII線に沿ってとった断面図である。
更に別の例示的実施形態に係る結合器を示す断面図である。
図8のIX-IX線に沿ってとった断面図である。
図8のX-X線に沿ってとった断面図である。
種々の例示的実施形態に係る結合器において採用可能な一実施形態に係るインダクタを示す図である。
更に別の例示的実施形態に係る結合器を示す断面図である。
図12のXIII-XIII線に沿ってとった断面図である。
更に別の例示的実施形態に係る結合器における複数のリレーそれぞれのリレースイッチの状態(開又は閉)とインダクタンスの関係を示す表である。
種々の例示的実施形態に係る結合器に採用可能な複数のリレーの故障検知のための構成の例を示す図である。
【発明を実施するための形態】
【0008】
以下、図面を参照して種々の例示的実施形態について詳細に説明する。なお、各図面において同一又は相当の部分に対しては同一の符号を附すこととする。
【0009】
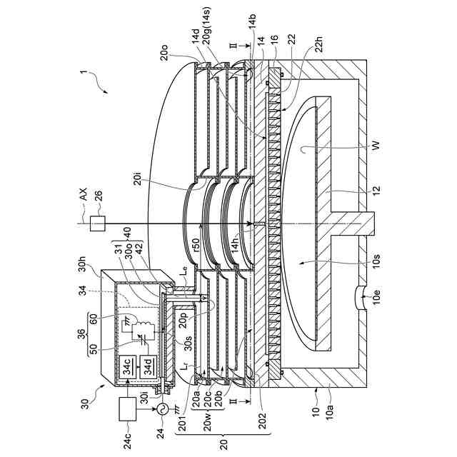
図1は、一つの例示的実施形態に係るプラズマ処理装置を示す図である。図1に示すプラズマ処理装置1は、チャンバ10、基板支持部12、導入部16、共振器20、高周波電源24、及び結合器30を備えている。
【0010】
チャンバ10は、その内部において処理空間10sを提供している。プラズマ処理装置1では、基板Wは、処理空間10sの中で処理される。チャンバ10は、アルミニウムのような金属から形成されており、接地されている。チャンバ10は、側壁10aを有しており、その上端において開口されている。チャンバ10及び側壁10aは、略円筒形状を有し得る。処理空間10sは、側壁10aの内側に提供されている。チャンバ10、側壁10a、及び処理空間10sの各々の中心軸線は、軸線AXである。チャンバ10は、その表面に耐腐食性を有する膜を有していてもよい。耐腐食性を有する膜は、酸化イットリウム膜、酸化フッ化イットリウム膜、フッ化イットリウム膜、酸化イットリウム、又はフッ化イットリウム等を含むセラミック膜であり得る。
(【0011】以降は省略されています)
この特許をJ-PlatPat(特許庁公式サイト)で参照する
関連特許
株式会社コロナ
電気機器
3か月前
個人
電子部品の実装方法
4日前
日本精機株式会社
回路基板
26日前
個人
非衝突型ガウス加速器
1か月前
株式会社遠藤照明
照明装置
3か月前
日本精機株式会社
回路基板
3か月前
アイホン株式会社
電気機器
18日前
キヤノン株式会社
電子機器
3か月前
キヤノン株式会社
電子機器
18日前
日本放送協会
基板固定装置
24日前
アイホン株式会社
電気機器
1か月前
個人
節電材料
1か月前
メクテック株式会社
配線基板
1か月前
メクテック株式会社
配線基板
3か月前
東レ株式会社
霧化状活性液体供給装置
1か月前
マクセル株式会社
配列用マスク
2か月前
サクサ株式会社
筐体の壁掛け構造
1か月前
FDK株式会社
基板
3日前
イビデン株式会社
プリント配線板
24日前
イビデン株式会社
配線基板
1か月前
イビデン株式会社
プリント配線板
2か月前
トキコーポレーション株式会社
照明器具
2か月前
イビデン株式会社
プリント配線板
3か月前
イビデン株式会社
配線基板
1か月前
イビデン株式会社
プリント配線板
2か月前
オムロン株式会社
端子折り曲げ治具
6日前
カシン工業株式会社
PTC発熱装置
2か月前
新電元工業株式会社
電子装置
18日前
メクテック株式会社
配線モジュール
3か月前
日産自動車株式会社
電子機器
2か月前
メクテック株式会社
伸縮性配線基板
3か月前
日産自動車株式会社
電子部品
16日前
株式会社レゾナック
冷却装置
3日前
株式会社電気印刷研究所
金属画像形成方法
2か月前
株式会社電気印刷研究所
金属画像形成方法
2か月前
新電元工業株式会社
充電装置
2か月前
続きを見る
他の特許を見る